
中国
China
我国牵头制定的适老化数字经济国际标准发布
2025年5月,国际标准化组织(ISO)正式发布《老龄化社会 老龄化包容性数字经济通用要求与指南》(ISO 25556:2025),该标准由我国牵头制定,是ISO首个人口老龄化视角下的数字经济标准。
该标准规定了适老化数字经济的基本准则和核心要素,并针对在线购物、数字银行、数字医院、在线娱乐、社交媒体、智慧出行、智慧社区、智慧家庭等老年人参与数字经济的高频场景提出了具体建议和应用案例,为建立老龄化包容性数字经济、消弭全球老年人数字鸿沟凝练了科学解决方案,贡献了中国智慧。
根据联合国人口司预测,截至今年年底,全球60岁及以上人口将达14.2亿人。该标准在制定过程中得到了全球利益相关方的广泛关注和积极参与,来自美国、英国、德国、丹麦、澳大利亚、日本、韩国、印度、新加坡等20多个国家的跨学科专家共同协作,参与了标准研制工作。

欧盟
European Union
欧盟推迟批准聚乙烯吡咯烷酮碘用于产品类型1和3生物杀灭产品的有效期
据欧盟官方公报消息,2025年5月26日,欧盟委员会发布(EU)2025/951号条例,推迟批准聚乙烯吡咯烷酮碘(polyvinylpyrrolidone iodine)用于产品类型1和3生物杀灭产品的有效期,本条例自发布之日起第二十天生效。
据条例, 聚乙烯吡咯烷酮碘的批准有效期推迟至2028年2月29日。
欧盟修订REACH法规限制N,N-二甲基乙酰胺(DMAC)和1-乙基-2-吡咯烷酮(NEP)
2025年6月3日,欧盟委员会批准和发布法规(EU) 2025/1090,在欧盟REACH法规(EC) No 1907/2006附录XVII中增加第80项和第81项,分别限制投放欧盟市场的物质和混合物中的N,N-二甲基乙酰胺(DMAC,CAS号:127-19-5)和1-乙基-2-吡咯烷酮(NEP,CAS号:2687-91-4)。该修订将于2025年6月23日生效,并将于2026年12月23日后执行。
N,N-二甲基乙酰胺(DMAC)和1-乙基-2-吡咯烷酮(NEP)不得单独作为物质、作为其他物质或混合物的成分投放欧盟市场,当其浓度大于或等于0.3% (3000 mg/kg)。除非欧盟生产商、进口商和下游用户已在相关化学品安全报告和安全数据表(safety data sheets)中列入与工人长期吸入接触相关的衍生无效应水平(DNEL),即13 mg/m3(对于NEP,则为4 mg/m3),以及长期皮肤接触的DNEL为1.8 mg/kg体重/天(对于NEP,则为2.4 mg/kg体重/天)。
另外,除非欧盟生产商和下游用户采取适当的风险管理措施并提供适当的操作条件,以确保工人的接触浓度低于上述衍生无效应水平(DNEL),不得将这两种物质作为单独物质、其他物质或混合物的的成分进行生产或使用,当其浓度大于或等于0.3% (3000 mg/kg)。
对于在人造纤维的生产中使用,或作为溶剂使用的N,N-二甲基乙酰胺(DMAC),上述义务将从2029年6月23日起执行。
N,N-二甲基乙酰胺(DMAC)和1-乙基-2-吡咯烷酮(NEP)是溶剂,通常用于配制混合物,如农用化学品、药品和精细化学品。DMAC还可用作涂料的溶剂,并广泛用于人造纤维和薄膜的生产,以及用于电线绝缘的聚酰胺酰亚胺漆(清漆)的生产。NEP可用作清洁剂、粘合剂和脱模剂。NEP还可用于油田钻探和生产操作过程、功能性液体、聚合物加工、水处理、农用化学品辅料以及道路和建筑应用等多种用途。这两种物质在欧盟CLP法规(EC) No 1272/2008中都被归类为生殖毒性1B类物质(Repr.1B)。
欧盟拟推迟电池法规中尽职调查要求的实施时间
2025 年 5 月 21 日,欧盟委员会发布提案,提议将(EU) 2023/1542《欧盟与废电池法规》中的电池尽职调查义务(法规第七章)实施时间从 2025 年 8 月 18 日推迟至 2027 年 8 月 18 日,并调整相关指南发布时间(如原 2025 年 2 月 18 日改为 2026 年 7 月 26 日)。该条款覆盖钴、天然石墨、锂、镍等电池原材料的采购、加工和贸易环节。
延期两年主要原因包括:一是全球地缘格局变化导致电池原材料供应链调整困难,企业需时间分析和重构供应链;二是仅约50% 成员国指定了负责评估和监控合格评定机构的通知机构,且欧洲认证协会尚未制定电池尽职调查通知机构的认证标准,依赖欧盟批准的方案;三是行业协会开发的尽职调查方案需进一步制定、实施及通过欧盟认可(类似法规 (EU) 2017/821 的方案至今未获认可)。同时,欧盟新电池法规需与《企业可持续发展尽职调查指令》 (EU) 2024/1760同步制定指南,避免规则冲突。
欧盟POPs法规将新增得克隆限制要求!
2025年5月15日,欧盟委员会批准一项授权法规C(2025)2887,修订欧盟持久性有机污染物(POPs)法规(EU) 2019/1021,拟在POPs法规附录I的A部分新增得克隆的管控要求。该授权法规将发布于欧盟官方公报(OJEU)上,并自其在欧盟官方公报公布之日起第20天生效。
授权法规的主要内容如下:

得克隆(DP)是一种人工合成物质,主要用作胶粘剂、密封剂和聚合物的阻燃剂,并可用作润滑油的添加剂。
欧盟发布医疗器械法规协调标准新动态
2025年4月,欧盟委员会根据《欧盟官方公报》发布了依据《医疗器械法规》(MDR,EU 2017/745)和《体外诊断医疗器械法规》(IVDR,EU 2017/746)制定的新协调标准,这些新标准由欧洲标准化委员会(CEN)和欧洲电工标准化委员会(CENELEC)制定。
此次新发布的协调标准是基于欧盟委员会依据《欧洲标准化法规》(EU)No 1025/2012发出的标准化请求而制定的。根据MDR第8(1)条,符合相关协调标准或其相关部分的产品,可推定符合该法规相应要求。
新增协调标准内容:
1、《医疗器械(一次性医用手套)协调标准》
EN 455-1:2020+A2:2024:规定无孔洞要求及检测方法。
EN 455-2:2024:明确一次性医用手套物理性能要求及检测方式。
2、《医疗器械(灭菌)协调标准》
EN 556-1:2024:规定最终灭菌医疗器械被标记为“无菌”的要求。
EN 556-2:2024:涵盖无菌处理医疗器械的要求。
3、《医疗器械(救护车患者搬运设备)协调标准》
EN 1865-2:2024:聚焦救护车用动力担架要求。
EN 1865-6:2024:引入救护车用动力椅要求。
此次新增标准涵盖了医疗手套、灭菌流程和救护车设备等方面,进一步完善了医疗器械法规的协调标准体系,有助于确保医疗器械的安全性和有效性,推动医疗器械行业的高质量发展,为患者和医疗专业人员提供更可靠的医疗产品。
遵循这些协调标准可以使制造商、经济运营商和认证机构受益,为符合相关欧盟立法提供 “符合性推定”,降低了企业合规成本和风险,促进了医疗器械在欧盟内部的自由流通。

印度
India
印度就6GHz频段发布法规草稿
印度通信部2025年5月16日发布了一项草案,拟开放5925-6425 MHz频段,供室内低功率及室外超低功率的无线接入系统(WAS/RLAN)使用,简要如下。

使用限制如下:
1. 不允许在石油钻井平台上使用。
2. 室内设备禁止安装或使用在汽车、船只以及飞行高度低于 10,000 英尺的飞机上。
3. 禁止将其用于与无人机(Drone)或无人飞行器(UAV)的通信连接。
草案目前正征求公众意见,截止时间为 2025 年 6 月 15 日。

美国
America
美国FDA推出全机构人工智能工具
2025年6月2日,美国食品药品监督管理局(FDA)推出了生成性人工智能(AI)工具Elsa,旨在帮助从科学审查员到调查人员更高效地工作。这一创新工具使机构职能现代化,并利用AI能力更好地为人民服务。
Elsa构建在高安全性的GovCloud环境中,为FDA员工提供了一个安全的平台来访问内部文件,同时确保所有信息都保留在机构内部。这些模型不使用受监管行业提交的数据进行训练,保护了FDA工作人员处理的敏感研究和数据。
FDA已经在使用Elsa来加速临床方案审查,缩短科学评估所需的时间,并确定高优先级的检查目标。Elsa的引入是FDA整体AI之旅的第一步。随着该工具的成熟,FDA计划在不同的流程中集成更多的人工智能,例如数据处理和生成AI功能,以进一步支持FDA的使命。
美国华盛顿州通过SB 5628修订炊具中的铅要求
2025年5月13日,美国华盛顿州州长签署了SB 5628法案,修订炊具中铅含量要求。
在2024年3月28日,美国华盛顿州通过了HB 1551法案(编纂为 70A.565 RCW),限制炊具或炊具组件中的铅或铅化合物含量不得超过5ppm, 且该限制将于2026年1月1日生效。
根据SB 5628,铅限制的范围已从“炊具或炊具部件”修订为“铝或黄铜炊具,铝或黄铜器具,或铝或黄铜炊具部件”,限值也调整至90ppm。
如下是法规对比总结:

注:
“铝或黄铜炊具” 是指下列由黄铜或铝制成的物品:锅、平底锅、水壶、圆形平底铁锅、烤架、电饭煲或压力锅等设备的内锅,以及类似的用于烹饪食物的容器或表面。
“铝或黄铜炊具”不包括:
(i) 内部仅有一层铝或黄铜但完全被不锈钢包裹的物品;或
(ii) 带有可拆卸烹饪容器的电子烹饪设备的主体,例如慢炖锅、电饭煲和压力锅。
“铝或黄铜器具” 是指由铝或黄铜制成的工具,例如刀、叉、勺、铲以及用于准备、盛放或食用食物的类似工具,除非这些工具完全由不锈钢包裹。
“铝或黄铜炊具部件” 是指由铝或黄铜制成的炊具部件,例如盖子、铆钉、紧固件、阀门和通风管。
美国FCC禁止一些实验室参与美国设备授权程序
2025年5月22日,美国联邦通信委员会(FCC)通过了新规则,以确保数百家设备测试实验室和电信认证机构,即对在美国进口、营销和销售的无线电子设备进行测试、审核和认证的实体,不存在会带来国家安全风险的所有权权益,包括它们可能会按照外国对手指令行事的风险。
FCC要求所有发射无线电频率的电子设备,包括物联网设备、计算机、健身追踪器、网络设备、智能手机和婴儿监视器,都必须获得在美国使用的授权。每年,被称为测试实验室和电信认证机构(TCB)的私营实体分别对成千上万的此类设备进行测试,并证明它们符合FCC的各项规定。
认可机构会对测试实验室的能力和公正性进行评估,电信认证机构、认可机构以及部分测试实验室必须得到FCC的认可,才能在FCC的程序中履行这些职能。然而,在这些新规则出台之前,该机构的合格标准主要基于技术能力,而非可信度。
新规则关键要点如下:
1. 禁止“受限实体”控制的实验室参与认证
FCC将不再认可由“受限实体”拥有、控制或指导的测试实验室、认证机构和实验室认可机构。
“受限实体”包括:FCC的“受限清单”(Covered List)上的公司。
2. 所有权和控制权的界定
- 任何“受限实体”直接或间接拥有10%或以上股权或投票权的实验室,将被视为“受控”实验室。
- 实验室必须在30天内向FCC提交声明,证明其不受“受限实体”控制,并报告任何持有5%或以上股权的实体。
3. 撤销现有认可
- FCC将撤销任何被发现由“受限实体”控制的实验室的现有认可;
- 未能提供准确信息或提供虚假信息的实验室也将失去认可资格。
美国EPA再次推迟TSCA PFAS的申报截止日期
2025年5月13日,美国环境保护署(EPA)在《联邦公报》上发布了一项临时最终规则,正式推迟了《有毒物质控制法》(TSCA)规定的PFAS申报的开始时间。这标志着最初于2023年10月敲定的这一申报要求的执行第二次被推迟。
2023年10月11日,美国环境保护署(EPA)发布了关于《有毒物质控制法》(TSCA)第8(a)(7)节对全氟和多氟烷基物质(PFAS)进行申报和记录保存要求的最终规则40 CFR 705;随后于2024年9月5日,发布了一项直接最终规则,推迟了针对PFAS的申报日期。PFAS申报规则要求制造商和进口商(包括物品的制造商和进口商)申报在2011年至 2022 年期间所使用PFAS物质的详细信息。该规则旨在增进EPA对各行业PFAS范围和使用的了解,为未来的风险评估和监管行动提供信息。
美国环境保护署(EPA)表示,其电子申报系统的持续开发和测试是延期的原因。此外,该机构已表示可能会重新开放部分规则以征询公众意见,这表明对申报要求的进一步修订可能即将到来。
根据临时最终规则,申报期将从2026年4月13日开始,持续六个月,即2026年4月13日至2026年10月13日;对于小物品进口商,申报期也将从2026年4月13日开始,但持续12个月,即2026年4月13日至2027年4月13日。
临时最终规则已于 2025 年 5月 13 日生效。美国环境保护署(EPA)目前正在接受公众对临时最终规则的意见,相关方必须在2025年6月12日或之前进行意见反馈。

国际标准化组织
ISO
ISO发布家庭废水处理管理指南
2025年5月,国际标准化组织(ISO)正式发布了第二版 ISO 24521:2025《饮用水、废水和雨水系统及服务——现场生活污水服务管理》国际标准,为全球现场生活污水系统的全生命周期管理提供了权威指导。
该标准适用于公共和私人运营的现场生活污水(黑水和灰水)服务,涵盖单户及多户住宅,特别关注农村和发展中地区由业主自行管理的“自助服务”场景。标准从运营商、业主和用户双视角出发,全面规范了现场生活污水系统(ODWS)的管理,包括维护技术、人员培训、风险考量等运营层面要求,同时覆盖系统的设计建造、规划运维及健康安全等关键环节。
作为ISO 24511和ISO 24525标准的补充,ISO 24521:2025强调在任何发展阶段采用适宜技术实现系统的整体管理。该标准明确将污水排放环境质量限值、分析方法、雨水径流及合同内容等纳入排除范围,聚焦核心管理流程的标准化。
ISO发布塑料水环境分解测试新标准
国际标准化组织(ISO)2025年5月正式发布了ISO 16636:2025《塑料-水环境条件下塑料的分解现场测试》。这一新标准为评估塑料材料在水环境中的分解程度提供了明确的测试方法和规范。
该标准详细规定了在自然水环境条件下进行塑料分解测试的具体要求。测试需在水下1.5米至3米深度进行,适用于湖泊、河流等水体的近岸区域以及浅海区域。它涵盖了测试设备的一般要求以及测试方法的使用程序。
需要注意的是,此测试方法仅适用于评估塑料在水中的分解情况,不适用于由热或光暴露引起的分解评估。此外,该标准明确指出,所描述的现场测试是分解测试,而非生物降解测试。因此,它不能用于证明生物降解性,也不能用于提出诸如“在海洋环境中可生物降解” 等未经证实的声明。
ISO 16636:2025标准的发布,为塑料行业提供了一个统一的测试框架,有助于更科学、准确地评估塑料在水环境中的行为和影响。这将促进塑料产品的环境影响评估和可持续发展研究,为塑料污染治理提供有力支持。随着对塑料污染关注度的不断提高,这一标准有望在全球范围内得到广泛应用,推动塑料行业的绿色转型和创新发展。
ISO发布环境放射性测量中取样、调节和预处理的一般指南
ISO于2025年5月发布环境放射性测量中取样、调节和预处理的一般指南。ISO 18510-1:2025《环境放射性测量 生物指示物 第1部分:取样、调节和预处理的一般指南》的目的是规定与取样策略、样品的收集和处理、将样品运送到实验室以及分析前的预处理操作有关的一般原则。
ISO 18510-1:2025适用于实施取样计划的组织以及负责收集生物指示物样品的组织。这些原则不直接适用于事故或事故后情况。这些原则可以适用于环境中的生物矩阵。

澳大利亚
Australia
2026年3月3日,澳洲LED灯泡强制执行GEMS
2026年3月3日起,澳大利亚将正式实施《2025年温室及能源最低标准(GEMS)LED灯泡规定》,新规对标欧洲ErP法规但部分要求更细化。
时间节点
发布时间:2025年3月3日
强制实施时间:2026年3月3日
过渡期:12个月,建议企业尽快完成产品测试与注册。
产品覆盖范围
1. 一般条件
(a) 色度坐标范围:

(b) 初始光通量小于500 lm/mm²
(c) 初始光通量需介于100至82000流明之间
2. 单头/双头LED灯泡
(a) 单头LED灯泡:BA15d, B15d, B22d, E11, E12, E13, E14, E17, E26, E27, E39, E40, GU10, GZ10, GX10, GU24, GX53, G9; G4, GU4, GY4, GZ4, GU5.3, GX5.3, G6.35, GY6.35, GU7, G53
(b) 双头LED灯泡,长度要求550-1500mm:cap G5, G13, GX16t-5
产品豁免范围
- 航空用途光源
- 紫外灯(紫外辐射功率大于2mW/klm,或峰值波长位于180-280nm之间)
- 蓝光含量过高的灯(400-480nm范围的辐射功率超过40%)
- 植物灯(光合光子效率大于2.5μmol/J)
- 红光含量过高的灯(700-800nm范围的辐射功率超过25%)
- 光束角小于10度的灯泡
- 可调色灯(需满足色纯度要求)
能效与性能要求
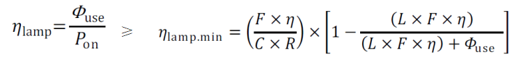
1. 光效公式:

2. 待机功耗:≤ 0.5 W
3. 性能要求

4. 流明维持率、存活率的变通测试方案

5. 人体健康要求

6. 标签与包装要求
a. LED 本体需标示的信息(灯泡空间不够的话,优先标示有效光通量和色温。)
- 有效光通量和色温
- 定向灯泡的发光角
b. 包装上需标示的信息


新加坡
Singapore
新加坡发布电子商务可持续包装指南
2025 年3 月 4 日,新加坡电子商务领域包装废弃物减少行动联盟发布电子商务包装可持续发展指南。指南适用于电子商务相关行业,旨在推动3R 原则(减少、再利用、再循环)的实施,涵盖管理团队、电商平台、包装供应商等主体的行动倡议,如管理团队可利用组织包装可持续性计分卡评估管理实践,电商平台可推广可持续包装选项等。此外还介绍了多种包装类型的改进方案、包装回收再利用的模式与机会,以及包装生命周期末端的沟通方式,同时提供了术语定义、解决方案评级、指标示例等内容。

埃及
Egypt
埃及 NTRA 通知关于“阿拉伯语说明书新要求”!
2025年05月21日, 埃及国家电信监管局(National Telecom Regularity Authority,简缩:NTRA)向NTRA A组实验室通知针对阿语说明书新增的强制性要求,通知内容如下:
面向公众的产品(如手机、家用路由器等)所需的阿拉伯语说明书应包括翻译实体的名称和联系信息,并且必须是通过ISO 17100认可的实体或阿拉伯国家政府组织认可的实体。
NTRA还宣布,针对已准备好发货但不符合最新要求的产品,鉴于制造商此前并未知晓该要求,因此可以豁免,但需要制造商提供承诺书,声明其已知晓该新要求,并在未来的发货中予以满足。

博茨瓦纳
Botswana
博茨瓦纳通报《低压开关设备和控制设备组件 第3部分:供普通人操作的配电板》标准草案
2025年5月28日,博茨瓦纳通报了《低压开关设备和控制设备组件 第3部分:供普通人操作的配电板》标准草案。该草案对普通人员操作型配电箱(DBO)作出专项规定,该类设备需满足以下技术要求:
——需由非专业人员操作(如开关切换、熔断器更换等),应用于民用住宅;
——出线回路需配置符合IEC 60898-1、IEC 61008、IEC 61009、IEC 62423及IEC 60269-3等标准的民用级保护装置;
——对地额定交流电压不超过300V;
——出线回路额定电流(Inc)≤125A且配电箱总额定电流(InA)≤250A;
——专为电能分配设计;
——封闭式固定安装;
——适用于户内外环境。
该草案评议期截止到2025年7月27日。

ASTM国际
ASTM International
ASTM发布绿色清洁标准指南
2025年5月,ASTM国际发布了全新的ASTM E2893-25标准指南,旨在为场地评估与清理项目提供绿色最佳管理实践指导,助力环保事业迈向新高度。该标准已获ASTM国际环境评估委员会下属的纠正行动小组委员会批准。
ASTM E2893-25标准指南详细阐述了一系列减少场地清理各阶段环境足迹的流程,从场地调查到长期监测,全方位覆盖。其核心内容包括:最小化能源总消耗并最大化可再生能源利用,如使用现场风能、太阳能,购买可再生能源电力;减少空气污染物与温室气体排放,采用低排放设备、先进排放控制技术和清洁燃料;降低水资源使用及对水资源的影响,节约用水、回收利用雨水;推广材料和废弃物的减少、再利用与回收,使用再生材料,回收建筑和拆除废弃物;保护土地和生态系统,减少对成熟原生植被、土壤和栖息地的干扰,降低噪音和光污染。
“绿色清理在实现清理目标的同时,保护人类健康与环境,最大限度减少能源、水和材料资源的使用,”《修复》杂志主编、E50委员会成员表示,“新标准将使环境专业人员能够系统地评估绿色最佳管理实践,并在项目中确定其优先级和选择应用。”
ASTM E2893-25主要面向场地评估和修复领域的环境专业人员,以及房地产开发商、监管机构和企业经理等处理污染场地的相关专家。未来,该标准有望融入州一级的清理法规。
ASTM 发布气候韧性修复新指南
2025年5月,美国ASTM 国际组织发布了ASTM E3249-25《应对气候影响的修复行动韧性标准指南》,为评估和减轻气候变化及极端天气对修复系统的影响提供了全面框架。
该指南意义重大,适用于各类主体,包括各级政府机构、军队、环境顾问、开发商等。其技术内容基于2018年ITRC对45个州环境机构的调查,强调了在清理计划中纳入修复基础设施和灾害规划等关键实践策略。
指南明确了适应与韧性概念,指出适应是基于当前和未来气候条件的提前规划与准备,而韧性则更注重应对极端事件频率和强度变化。目前,众多模型和策略可供参考,包括欧盟及IPPC等机构的相关研究。
美国政府问责办公室(GAO)研究显示,多数超级基金场地未在修复设计中考虑极端天气事件的增加,导致化学品意外释放风险。而遵循此指南的公司和组织,尤其是符合ISO 14001-2015 标准的,能更好地满足长期合规义务。
该标准范围涵盖从稳定化到长期运营及场地管理等修复全过程,要求项目管理者在各阶段充分考虑气候和极端天气影响,如洪水、野火等,以保障人类、生态受体以及周边社区和环境的持续保护。强调了概念场地模型在整合气候影响考虑中的关键作用,应随新知识不断更新。
ASTM E3249-25标准指南的发布,标志着在环境修复领域应对气候变化迈出了重要一步,为相关各方提供了实用工具,有助于提升修复项目的可持续性和韧性,减少潜在的环境风险和不利影响,其影响不仅限于美国,在国际上也具有广泛适用性。

卡塔尔
Qatar
卡塔尔Qatar CRA发布IoT和M2M技术立场文件
2025年6月,卡塔尔通信监管局CRA发布了一份关于物联网(IoT)和机器对机器(M2M)技术的立场文件,旨在促进创新、增强安全并推动卡塔尔经济增长。
通过这份立场文件,CRA 旨在构建一个全面的监管框架,以确保无缝连接、互操作性和安全的数字环境,使新兴技术能够高效扩展,同时保持最高水平的安全性和合规性。

日本
Japan
日本发布食品接触材料相关最新指南
2025年5月28日,日本消费者事务局(CAA)根据《食品卫生法》发布了与食品接触材料(FCM)有关的最新指南。具体修订内容如下:
· 在《食品、添加剂等标准》附录1中增加或修订物质;
· 单体通知,列出了食品接触材料中允许使用的单体和加工剂。
新指南自2025年6月1日起强制实施。

印度尼西亚
Indonesia
印度尼西亚与韩国正式实施电信设备实验室互认协议
2025年5月27日起,印度尼西亚和韩国正式实施电信设备测试实验室互认协议(MRA)。根据2024年5月27日双方签署的MRA协议,旨在加强两国在认证合作方面的合作。
MRA实施后,印度尼西亚承认韩国实验室发布的测试报告,执行印尼DJID认证时,无需重新测试。
印度尼西亚强制音频/视频产品符合SNI标准
自2025年6月2日起,印度尼西亚要求音频/视频产品必须符合印尼国家标准(SNI) IEC 62368-1:2014,依据2024年11月13日发布的工业部第75号条例,涵盖的产品包括:
·LCD和CRT电视(最大55英寸;不包括OLED、QLED、QNED和Mini LED);
·DVD和蓝光播放器;
·车载音响主机(不包括整车进口的设备);
·主动式独立音箱;
·电视机顶盒。
印度尼西亚计划将CSIPR 35测试纳入认证要求
2025年5月,印度尼西亚当前在DJID认证过程中,要求按照CISPR 32标准进行测试,并计划在近期纳入CISPR 35标准的强制测试要求,具体强制日期尚待确认。截至2025年5月21日,CISPR 35测试仍属于自愿性质,尚未列为强制项目。

蒙古
Mongolia
蒙古CRC启动5G网络
2025年5月16日,蒙古国通信监管委员会(CRC)宣布已于2025年5月15日正式启动5G网络,并向该国服务提供商颁发了相关运营许可证。
从2023年开始,蒙古国逐步建立了配套的政策和监管体系,为5G网络的部署奠定了坚实基础。CRC强调,5G网络将彻底改变许多领域,不仅限于高速互联网,还包括通信、工业、教育、医疗保健和采矿业。

英国
United Kingdom
英国的集体许可计划旨在协调人工智能和版权法
为解决版权与生成式人工智能生成之间的矛盾,英国版权许可代理机构(CLA)、作者许可与集体管理协会(ALCS)和出版商许可服务机构(PLS)三大机构共同宣布了一项重要举措,计划推出人工智能培训集体许可框架。选择加入(opt-in)许可将允许人工智能开发者使用基于文本的出版作品(如书籍、期刊和杂志)进行培训、微调和检索增强生成(RAG),同时确保创作者能够得到报酬。在与出版商进一步磋商后,该许可计划预计将于2025年第三季度推出。
英国政府在“版权与人工智能”意见征询活动中承认,英国现行的版权法使权利人和人工智能开发者都面临着不确定性。它提出了两个主要解决方案:(1)加强权利保留机制;(2)在未保留权利的情况下,为人工智能培训提供后备版权例外条款。然而,权利持有人强烈反对“一揽子”例外,认为这会削弱管理的透明度并降低报酬。他们的反对推动了这一许可框架的发展,使其成为一种基于市场的替代方案。
该框架由CLA、ALCS(代表作者)和PLS(代表出版商)合作建立。CLA——已经成为英国公认的文本内容集体管理组织——将对许可进行管理,在扣除运营成本后向权利人收取和分配许可使用费。在CLA的授权下,许可将涵盖广泛的基于文本的已出版作品,从而简化人工智能开发者的许可程序,因为单独谈判是不切实际的。权利人可以通过注册作品的方式自愿选择加入,而未注册的作品则不在许可范围内。这显然可以避免政府的例外提案中引发创作者批评的“选择退出”造成的负担,而只需要明确同意即可参与。
重要的是,拟议的集体许可旨在补充而非取代大型出版商或权利持有人与人工智能公司之间的直接定制化许可协议。它特别为小型创作者和独立出版商提供了一条便捷的途径,否则他们可能难以单独进行谈判。
第一阶段的出版商磋商已经结束,第二轮磋商计划将于2025年晚些时候进行。该框架的实施将紧随定于2025年5月1日开始的相关文本数据挖掘(TDM)和工作场所使用许可的推出。具体的补偿模式仍在谈判中,但将力求在人工智能开发者的承受能力与创作者公平、可持续的报酬之间取得平衡。收取的许可费将根据既定的分配规则在ALCS和PLS成员之间进行分配。
在制定该框架的同时,还将建立一个国家权利保留登记处,旨在促进许可元数据的机器可读化,并支持大规模许可偏好标记。被许可人还必须遵守严格的透明度要求,包括报告所使用的作品、内容获取方法和下游用途,最终目标是加强创意产业与人工智能开发者之间的信任。
虽然该许可框架以英国为中心,但在设计时考虑到了国际互操作性,为包括美国公司在内的全球人工智能开发者提供了获得许可内容的途径。如果成功的话,它将作为未来跨境人工智能许可解决方案的参考范例。
英国提出的集体许可框架是协调人工智能创新需求与版权法要求的一种务实方法。虽然在实施过程中可能会遇到新的挑战,但该倡议旨在为英国法定例外条款提供一种自愿参与、透明运作且可灵活扩展的替代方案;在保护创作者的经济利益的同时,促进负责任的人工智能发展。如果该框架获得成功,它将为其他司法管辖区在寻求技术进步与创作权保护之间取得平衡提供宝贵的经验。
英国发布环境空气二氧化氮浓度测定新标准
BSI(英国标准化协会)2025年5月发布了标准 BS EN 16339:2025《环境空气 通过扩散采样测定二氧化氮浓度的方法》。该标准在国际标准分类(ICS)中归类于“13.040.20 环境大气”类别。
BS EN 16339:2025 规定了通过扩散采样,后续结合比色法或离子色谱法(IC)进行萃取和分析,来测定环境空气中二氧化氮(NO₂)浓度的方法。其适用的NO₂浓度测量范围约为3μg/m³至130 μg/m³,通常采样周期为1至4周,具体时长取决于采样器设计和NO₂浓度水平。
标准指出,可用多种吸附剂通过扩散采样器捕获环境空气中的NO₂ ,并明确了三乙醇胺作为试剂的应用,还介绍了管型(圆柱或微锥管)、徽章型和径向型采样器。使用管型扩散采样器进行NO₂测量时,单个测量的相对扩展不确定度可能低于25%;将结果汇总形成年均值时,因随机效应不确定性降低,相对扩展不确定度可进一步降至15%以下。
此外,NO₂被动采样器可通过添加氧化剂将环境中的NO转化为NO₂来测量NOₓ,同时部署一个不加氧化剂的NO₂采样器,通过二者差值测定NO浓度。
该标准的发布,为环境空气中二氧化氮浓度测定提供了规范且科学的方法,有助于提升空气质量监测的准确性与可靠性,对环境空气质量的评估和管理具有重要作用。

海湾合作委员会
GCC
GC标志认证部分新版标准即将强制实施,出口海湾国家企业请关注更新!
GC标志认证证书作为产品进入海湾7国(沙特阿拉伯、阿联酋、科威特、卡塔尔、巴林、阿曼、也门)市场的准入证书,其认证原则上采用GSO/IEC等标准的最新版本。当相关标准版本更新时,其实施过渡期为新版标准发布之日起2年,过渡期结束,所有进口或者上市销售产品将强制要求符合最新标准要求。
因此,新版标准发布后,基于旧版标准获得的证书须在新版标准强制实施日期前完成证书更新,否则证书将会被暂停或撤销。下表为GC标志认证相关产品最新标准的强制实施日期,相关出口企业请关注并及时更新证书以确保满足海湾7国市场准入技术法规与标准要求!


韩国
Korea
韩国无线电设备技术标准部分修改!
2025年5月,韩国国立电波院发布了重要通知,国立电波研究院公告第2025-2号,依据《电波法》第45条(技术标准)及该法施行令第123条第1项7号的规定,对《简易无线电台・空间电台・地球站的无线电设备以及用于测向的无线电设备等其他业务用无线电设备的技术标准》(国立电波研究院公告第2024-10号,2024年7月5日)部分条款进行如下修订并公告:
一、一般条件
① 地球站应能自动跟踪通信对象空间电台或依据《电信事业法》获得跨境供应许可的外国卫星。但地球站无法自动跟踪卫星时,则应立即停止发射。
② 从其他一般地球站或安装在其他国家的设备(仅限于利用依据《电信事业法》获得跨境供应许可的外国卫星的情况)接收被设定的频率及辐射功率等控制的地球站,应在接收到控制信号时才进行发射。但地球站不能正常接收控制信号时,则应停止发射。
③ 地球站应能检测故障,且在检测到故障时,应在1秒内停止发射。
二、发射、接收装置的条件
(1)电波形式应为D7W或G7W。
(2)占用带宽应在62.5MHz以内。
(3)发射设备的最大等效全向辐射功率谱密度不应超过0.2dBW/4kHz,发射天线辐射方向的最低仰角应为25°以上。
(4)不需要的发射的平均功率应满足以下条件 :
① 在占用带宽内以4千赫带宽测量的平均功率与从信道中心频率起超过占用带宽50%至100%的区间内任意4千赫测量带宽内的平均功率差:25dB以上。
② 在占用带宽内以4千赫带宽测量的平均功率与从信道中心频率起超过占用带宽100%至250%的区间内任意4千赫测量带宽内的平均功率差:35dB以上。
③ 在占用带宽内以4千赫带宽测量的平均功率与从信道中心频率起超过占用带宽 250% 的频段内任意4千赫测量带宽内的平均功率差:43dB+10Log(每4千赫平均发射功率(瓦))以上。
频率容差应符合“无线电台规则”第5条规定的条件。在不进行发射的状态下(载波发射禁用状态),其伴随的电波辐射的等效全向辐射功率谱密度不应超过下表所列的数值。

依据《行政监管基本法》,自2025年1月1日起,每满5年(指每5年的12月31日)需对本公告进行合理性审查,并采取改进等措施。
韩国出台低轨卫星通信设备新规
2025年4月25日,韩国国家无线电研究机构(RRA)正式发布《广播及通信设备合格评定公告》(第2025-2号),针对低地球轨道(LEO)卫星通信地球站无线电设备的技术标准及标识规范作出重要修订。此次修订自公布之日起生效,标志着韩国在卫星通信领域的技术标准化进程迈出关键一步,旨在抢占6G时代空天地一体化通信的战略高地。
根据新规,RRA在《合格评定公告》附录1中新增了“低轨卫星通信地球站无线电设备”类别,并在附录7中同步更新了该类设备的格式符号标识方法78。此次调整主要针对11 GHz至14 GHz频段内运行的低轨卫星(轨道高度1,100至1,300公里)通信设备,明确其占用带宽、频率容限及抗干扰技术要求,以确保频谱资源的高效利用与电磁环境安全。
韩国此前已通过WTO向国际社会通报相关技术标准草案,强调其核心目标为“保障低轨卫星通信服务的无线电安全”及“保护公众健康”。此举被视为韩国响应国际电信联盟(ITU)技术框架、融入全球卫星通信标准体系的重要举措。
与此同时,韩国于2024年成立直属总统的宇宙航空厅,整合航空宇宙研究院等机构资源,强化卫星通信领域的国家统筹能力。政策层级的“技术+机构”双轮驱动模式,为韩国跻身全球卫星通信供应链奠定基础。
新规的生效恰逢国际卫星通信巨头加速布局韩国市场。SpaceX旗下Starlink计划于2025年上半年在韩推出服务,其低轨卫星群技术或将重塑本土通信生态。韩国业界分析认为,RRA此时收紧技术标准,既能引导本土企业提升设备兼容性与安全性,也为应对外企竞争设置“技术护城河”。
此外,低轨卫星通信被视为6G网络的核心基础设施,可支持自动驾驶、城市空中交通(UAM)等前沿应用。韩国此次标准升级,与全球6G研发趋势形成共振。科学和信息通信技术部此前指出,卫星通信与地面5G专网的融合将是韩国突破6G技术瓶颈的关键路径。
针对新规,三星电子、LG U+等企业已启动设备技术适配工作。RRA同步简化了合格评定程序,允许部分无线设备选择“合格证明”或“合格注册”方案,减少测试项目并缩短认证周期7。分析人士指出,柔性监管策略有助于降低企业合规成本,加速技术商业化进程。

国际电工委员会
IEC
IEC发布新版纽扣锂电池安全检测标准
2025年1月29日,IEC官方正式发布纽扣锂电池安全检测标准IEC 60086-4:2025。
新版本变更如下:
这一版本是一次技术性修订。与上一版相比,这一版包括以下重大技术变化:
a) 在测试标准的基础上增加了泄漏和通风的定义;
b) 修订了过放试验;
c) 修订了标记要求;
d) 修订了儿童耐药包装试验标准;
e) 将附件F的目的从“资料性”改为“规范性”;
f) 增加了新的附件G,增加了防止无意中滥用电池的额外措施用于消费者替换;
g) 整合解释表1(IEC 60086- 4:19 19/ISH1:2020)的内容;
h) 在条款3中,术语按其功能重新排序:基本术语、电化学系统、电池形状、电池尺寸、电气特性、规格、安全方面、失效模式;
i) 在6.4.4中,锂一次电池的冲击加速度豁免从12 kg减少到4,482 kg,以反映这是IEC 62281测试T-4中的阈值,其中峰值加速度降低到150 gn以下。

巴拉圭
Paraguay
巴拉圭CONATEL开放Wi-Fi 6E
2025年4月23日,巴拉圭国家电信委员会(CONATEL)发布了第1035/2025号董事会决议,宣布授权5925-6425 MHz频段用于低功率无线接入系统。
根据该决议,在5925-6425 MHz 频段低功率无线接入系统中使用的无线电通信设备,必须持有由CONATEL按照现行法规颁发的批准证书。同时设备制造商必须声明其设备配置符合CONATEL技术标准规定的限制,且设备标签和/或用户手册上必须标注以下信息:
"En Paraguay, este equipo deberá ser configurado para operar con las limitaciones establecidas en la Norma Técnica NTC-RF-5925:2025 de la CONATEL"(“在巴拉圭,本设备必须按照CONATEL技术标准NTC-RF-5925:2025中规定的限制条件进行配置/运行”)。

沙特
Saudi Arabia
沙特能效SASO 2902 证书变更要求和期限!
沙特阿拉伯标准、计量和质量组织SASO针对灯具产品新标准SASO 2902:2018/AMD2:2023已在2025年3月31日强制生效,海关口岸和工厂的强制执行时间为2025年6月1日,在当地市场上销售产品和库存产品的强制执行时间为2026年6月1日。而针对新增的符合要求产品和豁免产品的能效标签的相关变更升级,将于2025年5月31日关闭。SASO届时将取消所有不符合新标准的能效证书和标签(包括豁免证书),IECEE证书也将暂停颁发。
具体要求如下:
能效标签升级三种情况:
第一种:不在新标准豁免范围的,有原豁免证书申请变更为正常申请,例如线性灯具LED灯带;
第二种:仍在新标准豁免范围的,重新修改豁免证书申请;
第三种:原有能效证书和标签,现产品在新标准豁免范围的,由原能效证书和标签变更为豁免证书申请,例如壁灯等。
新版标准SASO 2902:2018/AMD2:2023的更新如下:
更新一:产品范围
删除了产品范围列表中有毒有害物质的要求
更新二:术语和定义
增加了可扩展LED模块和吊灯的详细定义
Scalable LED module: LED module which is designed according to a certain design rule and can be expressed by the characteristics proportional to a specific geometrical dimension.
Pendant luminaire: luminaire provided with a cord, chain, tube, etc., which permits it to be suspended from a ceiling or a wall support.
更新三:增加新条款
增加了线性可扩展LED模块的测试和宣称要求,如LED灯带
• 额定功率和额定光通量需要按照1米来宣称(包括长度小于1米的产品)
• 需要用50cm的产品来测试,并在报告中体现测试产品的长度
更新四:新增豁免产品
增加不以照明为目的和用途的豁免产品
• RGB或RGB/W的灯具
• 落地灯,台灯,壁灯
• 所有吊灯豁免(除了线性吊灯,面板吊灯,悬挂式工矿灯)
更新五:新增因技术原因豁免的产品
• 因下列原因无法测试的产品
― 净重超过50kg
― 长度或者最短的剪切长度超过2米
• 光束角小于10°的灯具
• IP防护等级为65或更高等级的灯具(不包含泛光灯和路灯)
更新六:产品包装
产品包装增加以下信息:
• IP防护等级(如果IP等级为65或者更高)
• 对于可扩展的线性LED模块,额定功率,额定光通量,额定光效需要按照1米来宣称
更新七:删除有毒化学物质的要求
删除附录J中灯和控制器的有毒化学物质参数要求

百慕大
Bermuda
百慕大RA发布蓝牙和Wi-Fi豁免备忘录
2025年5月,百慕大监管机构(RA)发布了蓝牙和Wi-Fi豁免备忘录,宣布自2025年2月14日起,仅使用蓝牙和/或Wi-Fi技术的无线电设备不再需要单独申请型式认证。但制造商和进口商仍有责任确保这些设备完全符合以下管理机构制定的所有适用技术和监管标准,以及对应的标记/标签:
• 美国联邦通信委员会(FCC)
• 加拿大国际标准协会(ISED)
• 英国/欧盟(ETSI)

布基纳法索
Burkina Faso
布基纳法索ARCEP开放Wi-Fi 6E
2025年4月29日,布基纳法索电子通信和邮政管理局(ARCEP)发布了第2025-011/ARCEP/CR号决定,定义了由低功率、短距离设备组成的站点的类别并规定了这些站点的使用条件。值得注意的是,ARCEP已批准将5945-6425 MHz 频段用于无线接入系统和无线局域网(WAS/RLAN)。

新西兰
New Zealand
新西兰首推全球最严电机能效新规
2025年5月,新西兰能源效率与节能局(EECA)发布《三相笼型感应电动机能效政策咨询文件》,计划通过四阶段升级将电机最低能效标准(MEPS)提升至国际领先水平。新规预计覆盖全国85%工业电机设备,成为亚太首个对标欧盟IE4标准的区域性法规。
一、政策核心升级
1、能效跨越式提升
2027年起强制实施IE3标准(覆盖0.75-375kW电机)
2029年推行IE4标准(75-200kW电机分阶段达标)
2、监管范围扩展
新增0.12-0.75kW小型电机监管(含家电/工业场景)
要求电机本体、说明书、官网三维公示能效数据
3、国际标准衔接
新增 UL 1004-14等北美认证兼容条款
建立东盟"绿色机电"标准互认机制
二、产业影响
1、制造端:电机厂商需投入12-15亿美元升级技术
2、消费端:工业设备单价上涨15%-20%,节能回报周期缩短至2-3年
3、能源结构:年减碳量达120万吨,相当于关停2座中型燃煤电厂
三、实施路线

四、全球对标
· 与澳大利亚达成"澳新能效互认协议"
· 美国NEMA标准委员会派观察员参与修订
西门子、ABB等企业在奥克兰设研发中心